5月15日—5月21日北京商业演出信息“出炉”,共788场(附名单)
5月15日—5月21日北京商业演出信息“出炉”,共788场(附名单)
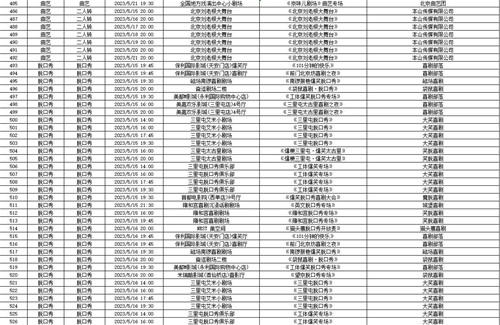
5月15日—5月21日北京商业演出信息“出炉”,共788场(附名单)。




















标签:
5月15日—5月21日北京商业演出信息“出炉”,共788场(附名单)
5月15日—5月21日北京商业演出信息“出炉”,共788场(附名单)。




















标签:
中国—率先发展的东部地区,媲美欧盟,比肩美国 率先发展的东部地区 1,包括河北、北京、天津、山东、江苏、上海、浙江、福建、广东、海南10个省市,面积91万平方公里,人口5....
鸡肉美食家常菜“香菇炒鸡”好吃是好吃,就是太费米饭了! 香菇炒鸡 超级下饭菜来了!裹满了酱汁的鸡肉,又香又嫩配上米饭,狂炫停不下来啊!短剧已失效 F食材准备:鸡腿肉、香...
许冠杰《天才白痴梦》 ——歌词赏析 人皆寻梦 梦里不分西东 片刻春风得意 未知景物朦胧 人生如梦 梦里辗转吉凶 寻乐不堪苦困 未识苦与乐同 天造之材 皆有其用 振翅高飞 无须在梦中...
稀有绝版特殊超好看符号 在特殊符号大全爱好者里面,有很多的稀有绝版特殊超好看符号,接下来小编和您一起来看看一些小编比较认为主流漂亮的符号,这些符号也是小编经常用来设计网...
农村随处可见的马蹄草,即可入药还可食用,你认识吗? 在农村要说随处可见的野菜的话,马蹄草绝对是其中之一。这个不但在我们农村,房前屋后、菜地边都有,甚至如今在城区的绿...
每日一草:假臭草 一、物种简介 假臭草(学名:Praxelis clematidea R.M. King H. Rob.),双子叶植物纲,桔梗目,菊科,假臭草属亚灌木或一年生草本植物。 二、物种别名 猫腥草。 三、物种分...
G1314次列车运行线路图:重庆北开往深圳北,全程2052公里 G1314次列车运行线路图:重庆北开往深圳北 G1314次列车是由重庆北开往深圳北的高速动车组列车,途经重庆、湖北、湖南、广东...
注意六种常见眼部情况! 眼睛是心灵的窗户,保护好眼睛就相当于保护好自己的身体,当眼睛出现这样的情况时,就要注意了: ①眼睛外眦有粗大血管弯曲:可能是有眩晕、失眠、心律不...
FIFA年终排名:巴西第1阿根廷第2,摩洛哥排名飙升,国足下降1名至第80仍列亚 洲第11 北京时间12月22日,国际足联公布了年终国家队排名,巴西仍居第1,世界杯冠军阿根廷列第2、亚军法...
国足东征名单公布 宝应籍球员吉翔榜上有名 近日,国足公布12强赛出征日本大名单,本赛季效力于山东泰山队的扬州宝应籍球员吉翔名列其中。这是吉翔继去年40强赛之后,再度随国家...
宫崎骏系列情头丨喜欢对方的眼神是藏不住的 所以我也走向了你,暮色千里都是我的回礼。 是我文案里的主角 是我故事里的人。 永远热恋永远没有完结篇。 没有艺术家不爱自己的缪...
粉红色、QQ体、公主风,何猷君的直男审美很醉人 何猷君13日成功求婚奚梦瑶,结果今天的微博还沉浸在这股求婚余波中,甚至#何猷君审美#这个话题直接爆掉热搜。 为何这个话题威力...
法治迎新春,平安过大年!大埔县高陂镇开展新春普法进企业宣传活动 为营造良好的法治环境,满足企业日益增长的法律服务需求,1月23日上午,大埔县高陂镇综治办、高陂派出所、高...
P-27滑菇简介 滑菇又名滑子蘑、珍珠菇、光帽鳞伞等,主要分布于晋、冀、川和东三省一带,其驯化栽培较容易。目前市场在东三省较普及,该菇产量高,市场售价稳定,发展很稳定。...
奴隶犯错后的惩罚,令人胆寒的三种下场 在古罗马帝国时期,奴隶制度达到了鼎盛时刻。由于实力强大,周边无可匹敌,他们不满足于现有土地,开始向外扩张,并将周围国家的人变为...
买买分丨恶魔之眼,施华洛世奇项链中的断货王! 今天小编为大家推荐 一直火到现在的一款项链—— 恶魔之眼。 对,就是下面这样。 它就是 米兰达参与设计 的 这款项链也是参与设计...
老照片:1930年代女子的三寸金莲的真实老照片 旧中国妇人的小脚是什么样的?三寸金莲之下的真实残酷模样如何? 且看这组老照片带你揭秘。 本组照片出自出自1924年8月至1944年间日本...
赌王何鸿燊年轻时颜值担当,难怪被称为“师奶杀手” 何鸿燊(shēn),1921年11月25日生于香港,有“澳门赌王”之称,是何东爵士弟何福的孙儿之一,何世光儿子,在家中排行第九。何鸿...
中国金鱼之王—兰寿 之前给大家分享了怎么做养鱼前的准备工作,怎么买健康的鱼,怎么放鱼包括平时养鱼要注意的问题,那么今天我就给大家介绍金鱼之王兰寿。 兰寿被称为中国金...
以色列战机被击落——做人别太狂,太狂必遭殃。 这个画面非同小可!为什么这么说呢?因为这是伊朗对以色列的反击,被击中的目标是F16,飞机直接解体坠毁,飞行员虽然弹射成功着...